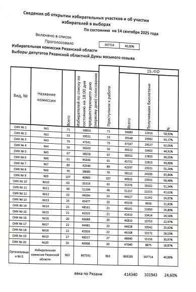
В Рязанской области 14 сентября на момент 15:00 явка избирателей составила 40%. Об этом сообщает региональный избирком.
В Рязанской области проходят 18 избирательных кампаний. Самая масштабная – выборы в Рязанскую областную Думу. Жителям региона предстоит избрать 40 депутатов: 20 по партийным спискам, еще 20 – по одномандатным избирательным округам.
Организовано видеонаблюдение. За соблюдением избирательных прав и легитимностью процесса следят почти 4 тысячи наблюдателей от кандидатов и партий, Общественной палаты РФ и Общественной палаты региона.
Голосование на выборах депутатов Рязанской областной Думы VIII созыва пройдёт 12, 13 и 14 сентября с 8:00 до 20:00.
ВАЖНО!!! Узнать оперативную информацию о ходе выборов можно на ресурсах проекта Общественной палаты региона «Наблюдатель 62».
Телефон горячей линии Избирательной комиссии Рязанской области: +7 (4912) 21-56-32.
